Tribuna de Opinión

Nos importa tu punto de vista

Tribuna de opinión
banner-medium
¿Por qué son importantes las microburbujas en sistemas DAF y de Ozonización y cuáles son los beneficios de reducir su tamaño?

27/10/2025

¿Por qué son importantes las microburbujas en sistemas DAF y de Ozonización y cuáles son los beneficios de reducir su tamaño?


Ernesto Herrera Díaz

Ernesto Herrera Díaz

  • Director de Desarrollo de Negocio de TAKORA Solutions
  • Ingeniero Técnico Químico por la Universidad del País Vasco

 


Más artículos del autor

 
"Implementar un sistema de generación de microburbujas en un DAF aumenta su eficacia y su eficiencia permitiendo una mejor concentración del fango flotado, con un sistema más sencillo que implica además un coste menor y un menor espacio ocupado y en algunos casos conlleva también una reducción del tamaño del equipo de deshidratación "
 
Los generadores de microburbujas son capaces de producir burbujas en un rango de tamaños que va de las 5 a las 20 micras de diámetro.
 
Esto representa una ventaja muy importante frente a la utilización de los sistemas convencionales, los cuales producen burbujas que casi siempre están en un rango entre 50 y 200 micras de diámetro, e incluso superiores.
 
Las principales aplicaciones de estas burbujas son los sistemas de flotación por aire disuelto (DAF), así como para desinfección de aguas mediante ozono.
 


¿Y qué repercusión tiene exactamente reducir el diámetro de las burbujas?

 
Pongamos por caso un flotador por aire disuelto (sistema DAF). A menudo los fabricantes diseñan sus equipos utilizando como base de cálculo la relación A/S, que es la relación entre el peso de aire que deben introducir en el flotador y el peso de los sólidos a flotar.
 
Esta relación A/S tiene un rango de valores muy amplio dependiendo del diseño de cada fabricante, así como del tipo y la cantidad de los sólidos a flotar. Ese rango suele ser de 0,01-0,1, siendo 0,03 un valor muy común para una mayoría de aplicaciones.
 
Supongamos que, para un caso concreto y aplicando esa fórmula, necesitemos utilizar un caudal de aire de 300 litros/hora. Para conseguir introducir ese volumen de aire en el flotador tendremos que generar un número X de burbujas de 100 μm de diámetro, que es un tamaño de burbuja habitual en un sistema DAF convencional.
 
En realidad no nos importa el número de burbujas, al menos a priori. Lo que tenemos que hacer es introducir el volumen de aire suficiente para flotar la cantidad necesaria de sólidos suspendidos contenidos en el agua residual o fango que llega al flotador. Con ese aire conseguiremos reducir la densidad del conjunto sólidos-burbujas para así lograr flotarlos.
 
Pero más allá del volumen, es fundamental la superficie de las burbujas porque aumentar la superficie del conjunto de burbujas es lo que hace que los sólidos suspendidos puedan adherirse a ellas y flotar.
 
Una vez entendidos estos conceptos, vamos a dar otro paso más:
 
Es fácil imaginar que para contener un mismo volumen de aire hacen falta más burbujas si éstas son más pequeñas.
   
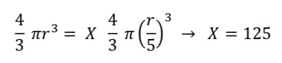
Veamos con la fórmula del volumen de la esfera, cuántas burbujas más harán falta para contener el mismo volumen de aire si reducimos el diámetro (o el radio) de las burbujas a la quinta parte:
 
 
Es decir que si en vez de meter al sistema DAF burbujas de 100 μm de diámetro (radio = 50 μm) utilizamos burbujas de 20 μm de diámetro (radio = 10 μm, o sea la quinta parte), con el mismo volumen de aire estaremos metiendo 125 veces más de burbujas.
 
 
De aquí deducimos que la superficie de las 125 burbujas de 20 μm que tienen el mismo volumen total que una burbuja de 100 μm, tienen 5 veces la superficie de esta última.
 
Dicho de forma genérica, las superficies de dos conjuntos de burbujas que contienen la misma cantidad de aire son inversamente proporcionales a las relaciones entre sus radios (o diámetros).
 
Y teniendo en cuenta lo que decíamos antes, se entiende fácilmente que al quintuplicar la superficie total de las burbujas de un flotador DAF, la eficiencia del flotador se incrementa significativamente.
 
Además, al haber un número muy superior de burbujas más pequeñas, la densidad de la masa de burbujas en el flotador es mucho mayor, lo que evita que haya sólidos libres de ser alcanzados.
 
Esto se entiende muy bien si imaginamos qué será más eficaz para flotar los sólidos de un DAF: ¿una única burbuja gigante o miles/millones de burbujas diminutas?
 
Por otra parte, al reducir su tamaño, la velocidad de ascenso de las burbujas es menor, lo que también favorece la fuerza de la flotación, produciendo una capa densa de sólidos flotados en la superficie del DAF.
 
 

 
El efecto combinado de mayor tiempo de permanencia de las microburbujas en el agua/fango y su mayor espacio ocupado es lo que hace a los generadores de microburbujas especialmente interesantes tanto en sistemas de flotación como en ozonización de aguas.
 
Conseguimos aumentar la eficiencia de la flotación y con ello que la concentración del fango flotado sea mayor, lo que en algunos casos (no siempre) nos permitirá instalar equipos de deshidratación más pequeños, con las ventajas que esto conlleva.
           
Centrándonos en los sistemas DAF, lo explicado anteriormente se puede enfocar desde dos perspectivas:
 
  • Para un DAF determinado es posible aumentar la eficiencia de la flotación de una manera muy sencilla.
     
  • Permite reducir el dimensionamiento de un flotador para eliminar la misma cantidad de sólidos suspendidos.

Otra opción que nos permite la aplicación de generadores de MicroBurbujas es la posibilidad de transformar de forma muy sencilla un sistema CAF en un sistema DAF.
 
Finalmente, los generadores de MicroBurbujas presentan una serie de ventajas añadidas frente a los sistemas DAF de diseño convencional:
 
  1. El generador de MicroBurbujas sustituye a la bomba del sistema, por lo que no es necesario implementar un elemento adicional a la instalación.
     
  2. No requieren del uso de compresores puesto que aspiran aire atmosférico directamente.
     
  3. Esto hace que el consumo eléctrico del conjunto sea menor.
     
  4. El espacio ocupado es también menor.
     
  5. La operación de estos sistemas es sencilla.
     
  6. No requieren de grandes calderines para la saturación del agua con el aire disuelto. Es suficiente con un pequeño depósito para venteo del exceso de aire aspirado por el generador y para la distribución del agua saturada al interior del DAF.



Conclusiones

 
Implementar un sistema de generación de microburbujas en un DAF aumenta su eficacia y su eficiencia permitiendo una mejor concentración del fango flotado, con un sistema más sencillo que implica además un coste menor y un menor espacio ocupado. Y esto en algunos casos puede conllevar también una reducción del tamaño del equipo de deshidratación.

Para más información sobre cómo implementar esta solución con generadores de MicroBurbujas, contactar a: comercial@takora-solutions.com
 
 
Ernesto Herrera
 
 

Publicidad

Deja tu comentario

Comentarios Publicar comentario

No hay comentarios publicados hasta la fecha.